返回列表 发帖

【宣传】快乐旅程,放飞希望——第二届“甬渝手牵手,我们在一起”活动

曾经,大山深处的孩子们凝望着美丽的星空,
想横跨苍穹,走出大山,通向大海......
然而,故乡的山却很高很高,高不可攀;
大海却在天的那一边,很远很远,遥不可及......
助学快乐,快乐助学!http://chuanyuzhuxue.blog.sohu.com/

愿望、梦想
孩子们终于实现了
第一次走出大山.....

[ 本帖最后由 云里飞 于 2009-7-20 22:31 编辑 ]

SSL12475.JPG (146.81 KB)

SSL12475.JPG

DSCN0635.JPG (712.1 KB)

DSCN0635.JPG

助学快乐,快乐助学!http://chuanyuzhuxue.blog.sohu.com/

TOP

一路上,孩子们非常开心

[ 本帖最后由 云里飞 于 2009-7-27 22:25 编辑 ]

20090720_9c5bcd63268b489bd4fbGKDU6WlpWCMG.jpg (125.42 KB)

在火车上快乐地游戏

20090720_9c5bcd63268b489bd4fbGKDU6WlpWCMG.jpg

DSCN0639.JPG (712.83 KB)

幸福的快餐

DSCN0639.JPG

SSL12486.JPG (123.04 KB)

在火车上有的写日记、有的玩玩具

SSL12486.JPG

SSL12487.JPG (118.35 KB)

SSL12487.JPG

助学快乐,快乐助学!http://chuanyuzhuxue.blog.sohu.com/

TOP

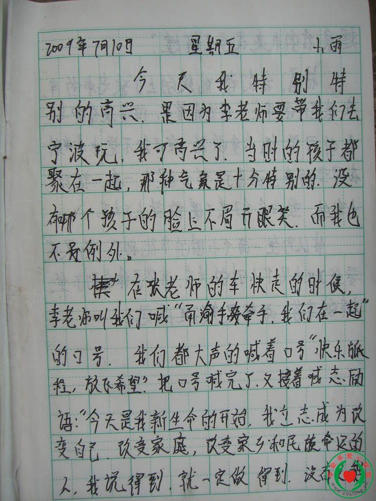
孩子们的日记

SSL12811.JPG (150.7 KB)

SSL12811.JPG

助学快乐,快乐助学!http://chuanyuzhuxue.blog.sohu.com/

TOP

期待着后续的发帖,感动于孩子的日子,感动于云里飞给孩子们的启发.
相信有大家的共同努力,这样的活动绝对是成功的,它不仅点亮了这些孩子的希望,更始点亮了我们的希望。
偶喜欢幻想,希望有一天能浪迹天涯!

TOP

7月12日

[ 本帖最后由 云里飞 于 2009-7-27 14:04 编辑 ]

SSL12490.JPG (166.76 KB)

正午为孩子们做详细讲解

SSL12490.JPG

SSL12492.JPG (192.19 KB)

登宝石山

SSL12492.JPG

SSL12495.JPG (193.03 KB)

和老外合影

SSL12495.JPG

DSCN0656.JPG (923.83 KB)

孩子们齐呼励志语

DSCN0656.JPG

SSL12501.JPG (169.06 KB)

叶嘟嘟带孩子们游西湖

SSL12501.JPG

DSCN0646.JPG (769.2 KB)

叶公一直忙着为孩子们拍照

DSCN0646.JPG

DSCN0671.JPG (693.58 KB)

孩子们在正午的带领下游西湖

DSCN0671.JPG

助学快乐,快乐助学!http://chuanyuzhuxue.blog.sohu.com/

TOP

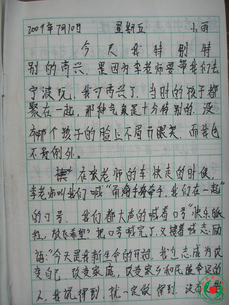
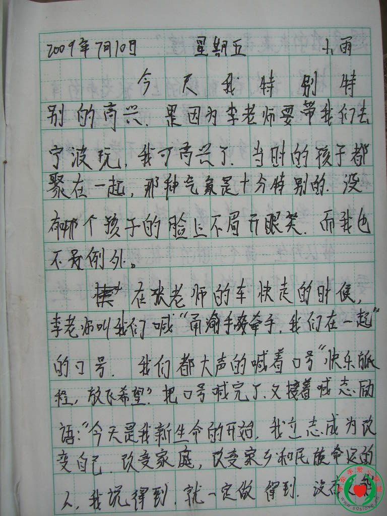
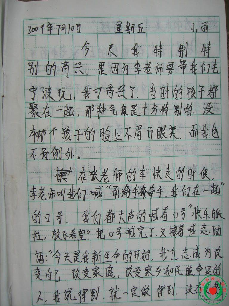
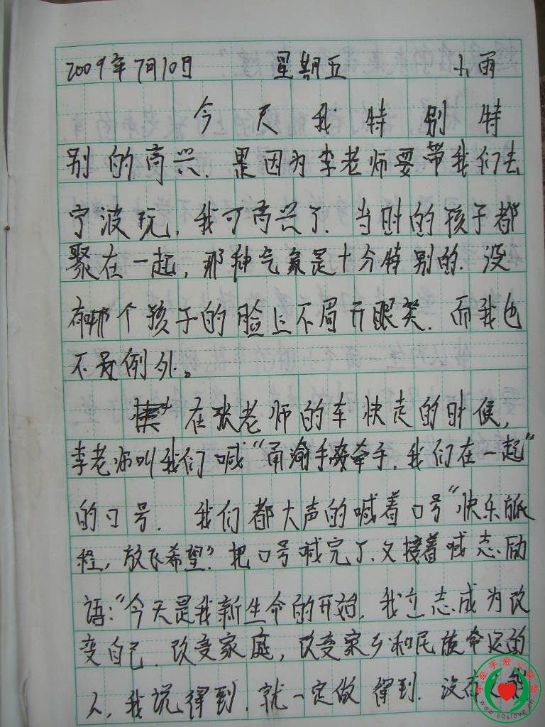
日记

SSL12825.JPG


今天已经是我们从学校出发的第三天了,我们顺利地到达了杭州火车站。一走出火车站,我们就看见小叶姐姐、小陈哥哥、正午哥哥他们三人亲自冒着酷暑到火车站来迎接我们的到来,帮我们拧东西,问我们坐火车辛不辛苦?热不热?累不累等。当时我感动极了!我们刚开始大家都是紧锁着眉头,感觉浑身无力,可是后来,我们大家都是精神百倍,高兴极了!我知道,这就是爱的力量!爱的力量是世界上最神奇、最无穷、最伟大的。
后来我们就来的了世界最美丽、最好玩的地方——杭州西湖。“上有天堂,下有苏杭”!天堂仅仅是人们的联想,但是杭州的美景却是我今天亲眼目睹的,真是百闻不如一见呀!果然是名不虚传!我在想。那里有成千上万的游客、数不清的柳树、不计其数的荷花……这么美丽的风景,真是美不胜收呀!
这次我可是大开眼界、大饱眼福了!
过了一两个小时,我们就坐车前往宁波。在不知不觉中我们很快就抵达了目的地——宁波。
到了宁波之后,小叶姐姐就叫我们赶紧洗头洗澡,然后去吃晚饭。晚饭过后我们回到宾馆又碰到了李姐和唐姐,她们也和小叶姐姐们一样有一颗善良的心……
在和小叶姐姐们一天相处下来,我感受到了很多很多的东西。人间处处都有爱,像小叶姐姐们一样的好心人帮助我们,是不求任何回报的,他们只是希望我们能好好学习,健健康康成长……还有正午哥哥跟我们讲的一番话,让我们了解到了爱的力量!从现在开始,我一定要好好学习,做一个有用的人,这样才能帮助更多需要我们帮助的人。
助学快乐,快乐助学!http://chuanyuzhuxue.blog.sohu.com/

TOP

7月13日

SSL12520.JPG (119.78 KB)

上午游海洋馆

SSL12520.JPG

SSL12608.JPG (114.49 KB)

下午图书馆

SSL12608.JPG

SSL12616.JPG (100.87 KB)

组长:袁小燕(在校任班长、副大队长)

SSL12616.JPG

SSL12548.JPG (111.02 KB)

项镔莲 (中队长)

SSL12548.JPG

SSL12515.JPG (119.74 KB)

王 鑫 (纪律委员)

SSL12515.JPG

SSL12509.JPG (151.69 KB)

369﹟邓勇(左) 331﹟胡林(右)

SSL12509.JPG

SSL12611.JPG (92.61 KB)

278﹟杜裕超

SSL12611.JPG

SSL12610.JPG (105.27 KB)

466﹟李武高

SSL12610.JPG

SSL12591.JPG (107.34 KB)

289﹟张 进(学校播音员、生活委员)

SSL12591.JPG

助学快乐,快乐助学!http://chuanyuzhuxue.blog.sohu.com/

TOP

.

[ 本帖最后由 云里飞 于 2009-7-27 20:49 编辑 ]

DSCN0791.jpg (85.05 KB)

DSCN0791.jpg

DSCN0746.jpg (118.3 KB)

DSCN0746.jpg

20090727_569ab8305f2dba0aef9axSNZHJn9hEjh.jpg (65.4 KB)

20090727_569ab8305f2dba0aef9axSNZHJn9hEjh.jpg

SSL12621.JPG (111.59 KB)

SSL12621.JPG

助学快乐,快乐助学!http://chuanyuzhuxue.blog.sohu.com/

TOP

日记

SSL12826.JPG

SSL12827.JPG

SSL12828.JPG
助学快乐,快乐助学!http://chuanyuzhuxue.blog.sohu.com/

TOP

返回列表 回复 发帖
右侧悬浮的QQ在线客服-www.codefans.net